西安齐岳生物供应有机发光小分子CzFPN、BrCzFPN和2CzPN,含有溴原子(BrCzCzPN,2BrCzPN))以及不含溴原子(2CzPN)的AIE-TADF分子
产地:西安
纯度:99%
用途:仅用于科研
供应商:西安齐岳生物科技有限公司
描述:
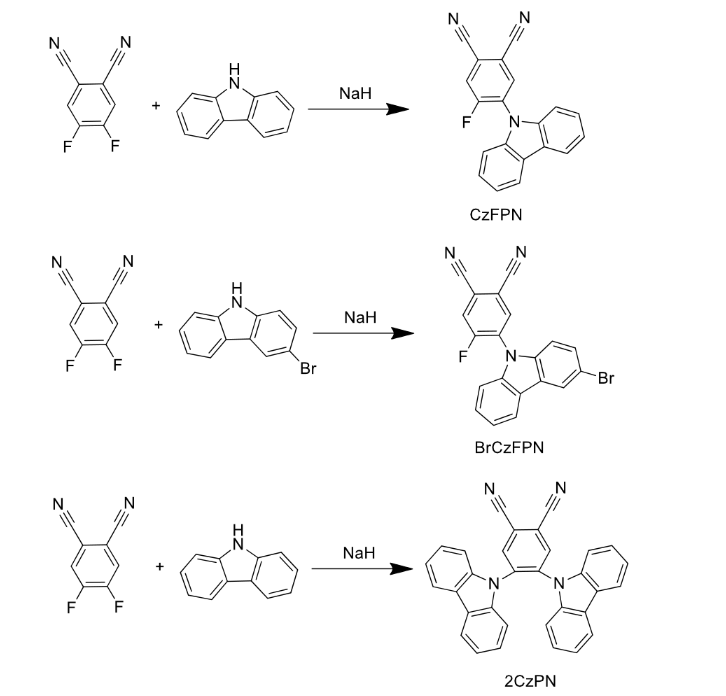
以氰基为吸电子基团,咔唑或者3-溴咔唑为给电子基团,我们设计合成具有AIE与力致发光特性的D-A有机发光小分子,即CzFPN、BrCzFPN和2CzPN。

我们结合晶体数据,解释了力致发光现象,发现具有压电效应的空间群、不对称中心的分子排列以及**固态发光是产生这种现象的主要原因。

我们提出将重原子(溴原子)引入到TADF分子中,提高分子的TADF性能,从而提高OLED性能。我们设计合成含有一个溴原子(BrCzCzPN),两个溴原子(2BrCzPN),以及不含有溴原子(2CzPN)的AIE-TADF分子,并将它们制备成OLED器件,研究发现随着溴原子数量的增加,其器件性能越好。
由2BrCzPN和BrCzCzPN制备的OLED器件电流效率和外部量子效率分别可达到31.5 cd A-1,12.3%和24.4 cd A-1,10.8%,比2CzPN的器件性能明显提高。

西安齐岳生物科技有限公司提供金属配合物,热激活延迟荧光(TADF)材料,聚集诱导延迟荧光(AIDF)材料,聚集诱导发光AIE材料的定制合成
基于苯并咪唑和三苯胺作为构筑单元的蓝色荧光有机小分子
即BI-A-TPA、BI-B-TPA、BI-C-TPA和BI-D-TPA
含硫杂环的有机小分子发光材料 深蓝光分子TPA-S和CzB-S
天蓝光分子CzB-SO2
TPA-SO2
蓝光材料PPI-TPA-SO2-1
PPI-TPA-SO2-2
1,6-2TPA-TX/3,6-2TPA-TX
1,6-2TPA-TXO/3,6-2TPA-TXO
以Pt(N^C^C^N)为配位方式的四齿配合物ZPt1,ZPt2和ZPt3
中性自由基分子TTM-1Cz
2,4-双[4-(N,N-二异丁基氨基)-2,6-二羟基苯基]方酸菁(SQ)
2-[4-(N-丁基-N-苯基氨基)-2,6-二羟基苯基]-4-[(4-(N-丁基-N-苯基氨基)-2,6-二羟基苯基)-2,5-二烯-1-亚基]-3-氧代环-1-烯-1-醇钠(SQ-BP)
2'-N-苯并咪唑基-3,5-(9H)二咔唑基联苯(o-mCPBI)
3'-N-苯并咪唑基-3,5-(9H)二咔唑基联苯(m-mCBI)
4'-N-苯并咪唑基-3,5-(9H)二咔唑基联苯(p-mCPBI)
温馨提示:仅用于科研
小编zhn2022.01.20




齐岳微信公众号
官方微信
库存查询