产品化学性质
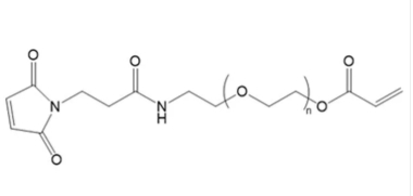
AC-PEG-Mal丙烯酸酯可由紫外线或自由基引发反应,常用于制备水凝胶。马来酰亚胺与巯基在PH6.5-7.5条件下生成硫醚键。聚乙二醇化可以提高聚乙二醇分子的稳定性,降低其免疫原性。它还可以抑制带电分子与修饰表面的非特异性结合。

产品名称:丙烯酸酯聚乙二醇马来酰亚胺
英文名称:AC-PEG-Mal Mal-PEG-AC
分子量:1k,2k,3.4k,5k,10k,20k(可按需定制)
质量控制:95%+
原料分散系数PDI:≤1.05
存储条件:-20°C,避光,避湿
用 途:仅供科研实验使用,不用于诊治
外观: 固体或粘性液体,取决于分子量
注意事项:取用一定要干燥,避免频繁的溶解和冻干
溶解性:溶于大部分有机溶剂,如:DCM、DMF、DMSO、THF等等。在水中有很好的溶解性
西安齐岳生物科技有限公司是集化学科研和定制与一体的高科技化学公司。业务范围包括化学试剂和产品的研发、生产、销售等。涉及产品为通用试剂的分销、非通用试剂的定制与研发,涵盖生物科技、精细化学品、中间体和化工材料等领域。与多家品牌深度合作,渠道广阔,主营产品:原料药,天然产物,COF、MOF单体系列:三蝶烯衍生物、金刚烷衍生物、四苯甲烷衍生物、peg、上转换、石墨烯、光电材料、点击化学、凝集素、载玻片、蛋白质交联剂、脂质体、蛋白、多肽、氨基酸、糖化学等。
相关产品:
SH-PEG-Acrylamide
SH-PEG-Acrylamide
thiol-PEG-EPO
thiol-PEG-N3
Aminooxy-PEG2000-Aminooxy
丙烯酰胺聚乙二醇丙烯酰胺
巯基PEG溴
巯基PEG烯烃
巯基PEG环氧
巯基PEG甲基丙烯酸酯
巯基PEG硝基苯基碳酸酯
巯基PEG硬脂酸
巯基PEG碘乙酰胺




齐岳微信公众号
官方微信
库存查询