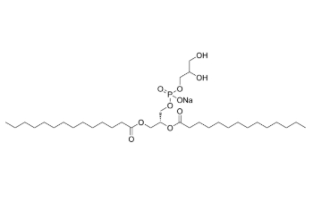
14:0 PG 200880-40-6 DMPG 1,2-二肉豆蔻酰-sn-甘油基-3-磷酸-rac-(1-甘油)钠盐
发布时间:2023-12-01  作者:LYQ  分享到:
常用名 1,2-二肉豆蔻酰-sn-甘油基-3-磷酸-rac-(1-甘油)钠盐
英文名 UNII:Q24R39NY7R
CAS号 200880-40-6
熔点 195 °C(dec.)
分子式 C34H66NaO10P
分子量 688.85
质量 688.429138
PSA 161.46000
LogP 8.76860
外观性状 固体;White to Almost white powder to crystal
储存条件 <0°C;避免加热

用途
DMPG钠是一种生物化学试剂,可作为生物材料或有机化合物用于生命科学相关研究。磷脂是一类含有磷酸的脂类,机体中主要含有两大类磷脂,由甘油构成的磷脂称为甘油磷脂(phosphoglyceride);由神经鞘氨醇构成的磷脂,称为鞘磷脂(sphingolipid)。
包装: 瓶装
产地:西安
纯度:≥95%
用途:仅用于科学研究,非医疗目的,非药用,非食用
温馨提示:仅用于科研,不能用于人体!
厂家:西安齐岳生物科技有限公司
西安齐岳生物科技有限公司供应磷脂、荧光、氨基酸、纳米颗粒、离子液体、MXene材料等供科研使用的各种产品,还可提供定制服务,欢迎咨询。
产品推荐:
CAS号:8002-43-5
CAS号:69-53-4
CAS号:63-89-8
CAS号:47747-56-8
CAS号:4539-70-2
CAS号:39036-04-9




齐岳微信公众号
官方微信
库存查询