CAS:200880-40-6 DMPG-NA 二肉豆蔻酰磷脂酰甘油(钠盐)
发布时间:2023-12-01  作者:LYQ  分享到:
产品名称:
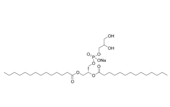
DMPG-NA二肉豆蔻酰磷脂酰甘油(钠盐)
英文名称:
1,2-Dimyristoyl-sn-glycero-3-phospho-rac-(1-glycerol) sodium salt
CAS号:
200880-40-6
外观:
白色固体
纯度:
99%
包装: 瓶装
产地:西安
纯度:≥95%
具有由磷酸相连的取代基团(含氨堿或醇类)构成的亲水头(hydrophilic head)和由脂肪酸链构成的疏水尾(hydrophobic tail)。在生物膜中磷脂的亲水头位于膜表面,而疏水尾位于膜内侧。

用途:仅用于科学研究,非医疗目的,非药用,非食用
温馨提示:仅用于科研,不能用于人体!
厂家:西安齐岳生物科技有限公司
西安齐岳生物科技有限公司供应磷脂、荧光、氨基酸、纳米颗粒、离子液体、MXene材料等供科研使用的各种产品,还可提供定制服务,欢迎咨询。
产品推荐:
DLPG
DLPA
Distearoyl Lecithin
DHPC
DEPC
DC-Chol
CAS号:923-61-5
CAS号:816-94-4




齐岳微信公众号
官方微信
库存查询