CAS:145849-32-7 1,2-二棕榈酰基-sn-甘油-3-磷酸-L-丝氨酸(钠盐)
发布时间:2023-12-01  作者:LYQ  分享到:
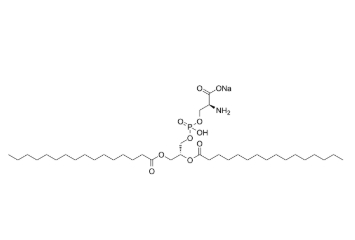
常用名 1,2-二棕榈酰基-sn-甘油-3-磷酸-L-丝氨酸(钠盐)
英文名 1,2-Dipalmitoyl-sn-Glycero-3-Phospho-L-serine (monosodium salt);DPPS, Na
CAS号 145849-32-7
用途
12-二棕榈酰-sn-甘油-3-PS钠盐是一种阴离子二酰基磷脂,是细胞膜中的一种脂质成分。12-二棕榈酰-sn-甘油-3-PS钠盐可用于制备阴离子囊泡和脂质体
分子式 C38H73NNaO10P
分子量 757.951
质量 757.487000
PSA 184.32000
LogP 9.31510
储存条件 -20°C,避光
包装: 瓶装
产地:西安
纯度:≥95%

用途:仅用于科学研究,非医疗目的,非药用,非食用
温馨提示:仅用于科研,不能用于人体!
厂家:西安齐岳生物科技有限公司
西安齐岳生物科技有限公司供应磷脂、荧光、氨基酸、纳米颗粒、离子液体、MXene材料等供科研使用的各种产品,还可提供定制服务,欢迎咨询。
产品推荐:
DPPE
DPPC
DPG
DOPE
DOPC
DMPG
DMPE
DMG
DL-α-磷脂酰胆碱,二硬脂酰




齐岳微信公众号
官方微信
库存查询