CAS:1799316-64-5 CIN16645 阳离子脂质
发布时间:2023-12-01  作者:LYQ  分享到:
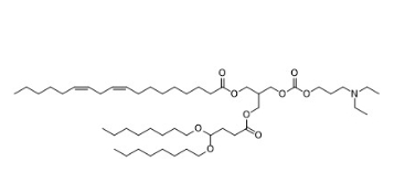
常用名 CIN16645
英文名 CIN16645
CAS号 1799316-64-5
CIN16645用途
CIN-16645是一种阳离子脂质,可用于向细胞和组织输送生物活性剂。 CIN16645可用于制备基于脂质纳米颗粒的化合物,并可用于递送CRISPR / Cas基因编辑组件。
CIN16645物理化学性质
分子式 C50H93NO9
分子量 852.27

储存条件 2 years -20°C Powder, 2 weeks 4°C in DMSO, 6 months -80°C in DMSO
包装: 瓶装
产地:西安
纯度:≥95%
用途:仅用于科学研究,非医疗目的,非药用,非食用
温馨提示:仅用于科研,不能用于人体!
厂家:西安齐岳生物科技有限公司
西安齐岳生物科技有限公司供应磷脂、荧光、氨基酸、纳米颗粒、离子液体、MXene材料等供科研使用的各种产品,还可提供定制服务,欢迎咨询。
产品推荐:
Lipid CL1
Lipid 2,2(8,8)4C CH3
Lecithin
DTDA
DTA
DSPG
DSPE
DSPC
DPPS




齐岳微信公众号
官方微信
库存查询