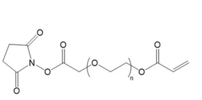
AC-PEG-NHS,丙烯酸酯聚乙二醇活性酯,NHS (polyethylene glycol) Acrylate
发布时间:2023-12-06  作者:axc  分享到:
AC-PEG-NHS,丙烯酸酯聚乙二醇活性酯,NHS (polyethylene glycol) Acrylate
英文名称:AC-PEG-NHS;NHS (polyethylene glycol) Acrylate
中文名称:丙烯酸酯聚乙二醇活性酯
分子量:1000,2000,3400,5000,10000,20000(可按需定制)
外观:粘稠液体或固体粉末,取决于分子量大小
端基取代率:≥95%
溶解性:溶于大部分有机溶剂,如:DCM、DMF、DMSO、THF等等;溶于水
存储条件:-20°C,避光,避湿

相关产品:
卵清蛋白-聚乙二醇-叶酸
OVA-PEG-folic acid
叶酸PEG卵清蛋白
FA-PEG-ovalbumin
OVA-PEG-DA
卵清蛋白-聚乙二醇-多巴胺
温馨提醒:仅供科研,不能用于人体实验AXC.2023.12.01




齐岳微信公众号
官方微信
库存查询