CAS:1403677-99-5
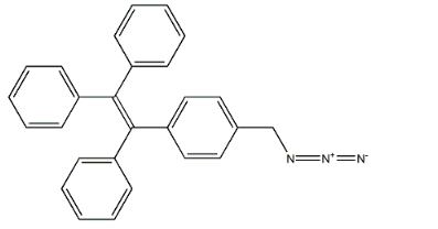
中文名称[1-(4-叠氮甲基苯基)-1,1,2-三苯基]乙烯
中文同义词[1-(4-叠氮甲基苯基)-1,1,2-三苯基]乙烯;(2-(4-(叠氮基甲基)苯基)乙烯-1,1,2-三基)三苯;中文名称:[1-(4-叠氮甲基苯基)-1,1,2-三苯基]乙烯;苯,1-(叠氮甲基)-4-(1,2,2-苯并噻吩基);1-(4-叠氮甲基苯基)-1;2-三苯基]乙烯;1-(叠氮甲基)-4-(1,2,2-三苯甲酰基)-苯;1-(叠氮甲基)-4-(1,2,2-三苯基乙烯基)苯
英文名称Benzene,1-(azidoMethyl)-4-(1,2,2-triphenylethenyl)-
英文同义词
Benzene,1-(azidoMethyl)-4-(1,2,2-triphenylethenyl)-;(2-(4-(azidoMethyl)phenyl)ethene-1,1,2-triyl)tribenzene;4-(Azidomethyl)-1,1,2,2-tetraphenylethene;1-(azidomethyl)-4-(1,2,2-triphenylethenyl)-Benzene;(2-(4-(Azidomethyl)phenyl)ethene-1;2-triyl)tribenzene;TPE-N3
CAS号1403677-99-5分子式C27H21N3分子量387.47574
厂家:西安齐岳生物科技有限公司
用途:科研
状态:固体/粉末/溶液
产地:西安
保存:冷藏
温馨提醒:仅供科研,不能用于人体实验
相关产品:
四羧基功能化四苯乙烯聚集诱导发光材料
TPE-carboxyl
丙烯酸酯修饰聚集诱导发光材料
TPE-MaI
四苯基乙烯-丙烯酸酯
四苯乙烯-羧酸
羧基修饰TPE聚集诱导发光材料
马来酰亚胺修饰TPE聚集诱导发光材料
乙炔基修饰四苯乙烯聚集诱导发光材料
四苯乙烯修饰壳聚糖
![CAS:1403677-99-5,[1-(4-叠氮甲基苯基)-1,1,2-三苯基]乙烯-UDP糖丨MOF丨金属有机框架丨聚集诱导发光丨推荐西安齐岳生物](http://www.reconroofs.com/images/logo.png)



齐岳微信公众号
官方微信
库存查询