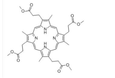
cas:25767-20-8,粪卟啉I四甲酯,COPROPORPHYRIN I TETRAMETHYL ESTER,分子量:710.82
发布时间:2023-12-08     作者:axc   分享到:
cas:25767-20-8,粪卟啉I四甲酯,COPROPORPHYRIN I TETRAMETHYL ESTER,分子量:710.82
英文名称:COPROPORPHYRIN I TETRAMETHYL ESTER
中文名称:粪卟啉I四甲酯
分子式:C40H46N4O8
分子量:710.82
cas:25767-20-8
熔点:252-254°C(lit.)
沸点1058.9±65.0°C(Predicted)
密度:1.224±0.06g/cm3(Predicted)
储存条件:AmberVial,Refrigerator
溶解度:可溶于氯仿、二氯甲烷、四氢呋喃
形态:crystal
颜色:purple
结构式

纯度:95%+
存储条件:-20°C,避光,避湿
外观:固体或液体,取决于分子量
厂家:西安齐岳生物
卟啉的合成方法有多种,其中代表性的是Rothemund方法。该方法是通过在锌杂质存在下脱水缩合反应制备卟啉的。具体步骤包括:将此咯烷加入至乙醛中,用盐酸水调节pH值至4左右后加入硝酸锌和氢氧化钠,搅拌后滤下沉淀,得到卟啉原料。然后,将卟啉原料在氢氧化钠溶液中加热,得到咻。此外,还有 Pyrrole-N-Oxides 合成法金属催化合成法等方法
相关产品:
cas:22112-77-2
5,10,15,20-四对甲苯基-21H 23H-卟吩
cas:14527-51-6
四甲氧基苯基卟啉钴
cas:28903-71-1
间-四(对 - 溴苯基)卟啉
cas:29162-73-0
温馨提醒:仅供科研,不能用于人体实验AXC.2023.12.01




齐岳微信公众号
官方微信
库存查询