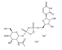
常用名 尿苷 5′-二磷酸-N-乙酰半乳糖胺 二钠盐
英文名 UDP-Alpha-d-n-acetylgalactosamine, disodium salt
CAS号 108320-87-2
分子量 651.31700
密度 N/A
沸点 N/A

分子式 C17H25N3Na2O17P2
熔点 N/A
闪点 N/A
质量 651.04500
PSA 331.14000
外观性状 白色粉末
储存条件
密封储存,储存于阴凉、干燥的库房。冷藏温度为-20ºC。
西安齐岳生物科技有限公司是集化学科研和定制与一体的高科技化学公司。业务范围包括化学试剂和产品的研发、生产、销售等。涉及产品为通用试剂的分销、非通用试剂的定制与研发,涵盖生物科技、精细化学品、中间体和化工材料等领域。与多家品牌深度合作,渠道广阔,主营产品:原料药,天然产物,COF、MOF单体系列:三蝶烯衍生物、金刚烷衍生物、四苯甲烷衍生物、peg、上转换、石墨烯、光电材料、点击化学、凝集素、载玻片、蛋白质交联剂、脂质体、蛋白、多肽、氨基酸、糖化学等。
相关产品:
2,3,4,6-四乙酰基-beta-D-葡萄糖-1-叠氮化物
cas:13992-26-2
2,3,46-四乙酰基-beta-D-半乳糖-1-叠氮化物
cas:6205-69-2
2,3,4-三-O-乙酰基-β-D-吡喃木糖基叠氮化物
cas:67776-38-9
UDP-2-deoxy-Glucose.2Na
UDP-2-F-Glc.2Na
cas:868208-96-2
UDP-6-azido-6-deoxy-D-Gal.2Na
UDP disodium salt
UDP-葡萄糖醛酸三钠盐
CAS:63700-19-6
UDP-半乳二钠盐
UDP-a-D-galactose disodium salt
UDP-乙酰基葡萄糖胺二钠盐
UDP-GlcNAc.2Na
cas108320-87-2




齐岳微信公众号
官方微信
库存查询