产品简介:
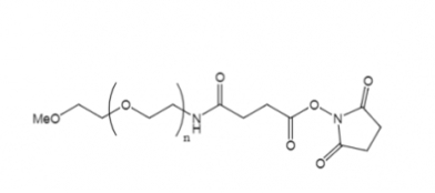
mPEG-SAS是一种mPEG-NHS酯试剂。 PEG和NHS酯之间存在C2脂族酰胺键。mPEG-SAS是一种氨基(-NH2)反应性PEG衍生物,可用于修饰蛋白质,肽或任何其他具有可用氨基的表面。 NHS酯与pH 7〜8.5的伯胺基反应形成稳定的酰胺键。 NHS酯与去质子化的伯胺反应,因此,该反应需要中性至碱性pH值才能进行。伯胺通过亲核攻击与NHS酯反应,NHS作为副产物释放。 NHS-酯的水解与水溶液中的反应竞争,并随着pH的增加而增加。

产品名称:甲氧基PEG琥珀酸酰胺琥珀酰亚胺酯
英文名称:MPEG-SAS
分子量:1k,2k,3.4k,5k,10k,20k(可按需定制)
质量控制:95%+
原料分散系数PDI:≤1.05
存储条件:-20°C,避光,避湿
用 途:仅供科研实验使用,不用于诊治
外观: 固体或粘性液体,取决于分子量
注意事项:取用一定要干燥,避免频繁的溶解和冻干
溶解性:溶于大部分有机溶剂,如:DCM、DMF、DMSO、THF等等。在水中有很好的溶解性
西安齐岳生物科技有限公司是集化学科研和定制与一体的高科技化学公司。业务范围包括化学试剂和产品的研发、生产、销售等。涉及产品为通用试剂的分销、非通用试剂的定制与研发,涵盖生物科技、精细化学品、中间体和化工材料等领域。与多家品牌深度合作,渠道广阔,主营产品:原料药,天然产物,COF、MOF单体系列:三蝶烯衍生物、金刚烷衍生物、四苯甲烷衍生物、peg、上转换、石墨烯、光电材料、点击化学、凝集素、载玻片、蛋白质交联剂、脂质体、蛋白、多肽、氨基酸、糖化学等。
相关产品:
甲氧基PEG琥珀酸酰胺琥珀酰亚胺酯
甲氧基PEG琥珀酰亚胺基碳酸酯
甲氧基PEG琥珀酰亚胺戊酸酯
甲氧基PEG琥珀酰亚胺戊二酸酯
甲氧基PEG琥珀酰亚胺羧甲基酯
甲氧基PEG环氧化物
甲氧基PEG缬草酸
甲氧基PEG丙烯酰胺
甲氧基PEG溴化物
甲氧基PEG乙烯砜
甲氧基PEG甲基丙烯酸酯
甲氧基PEG碘乙酸盐




齐岳微信公众号
官方微信
库存查询