Ir(ppy)s环金属铱(I)有机磷光材料光化学性质及研究现状
西安齐岳提供光电化学品、OLED材料、金属配合物,力/光致变色材料、酰胺类功能小分子有机凝胶因子、环金属化合物发光材料、有机-无机杂化化合物、静电纺丝纤维膜、化学试剂、有机和印刷材料、有机光电和半导体材料、精细化学品、中间体、材料中间体,化学原料,杂质,标准品,对照品等一系列产品。
三(2-苯基吡啶)合铱[Tris(2- phenylpyridinato-C2 ,N)iridium (III),简写为Ir(ppy)s],当时是作为合成[Ir(ppy)z-u-ClI]z的副产物,其在脱气甲苯中表现出非常强的磷光,磷光产率达0.4,并且主要是在室温下3MLCT激发态发光。之后又报道了以三(乙酰丙酮)合依做起始原料,合成fac- Ir(ppy)3高收率的方法[24],产率为45%。
采用Ir(ppy)3做绿色磷光材料制作的掺杂型有机发光二极管,内量子效率达**,从而也证明了有机电致发光器件可以充分利用单重态和三重态发光的相关理论,现采用环金属铉磷光材料制备的OLED器件的外量子效率达19-29%[26-30],从另一个方面证明了环金属铱可以充分利用单重态和三重态发光。尽管现在新的配体不断涌现,Ir(ppy);仍被认为是非常理想的绿色磷光材料,其较大发射波长在512nm。
然而红光材料的发展远不及绿光材料,这与红光材料自身的发光性质相关,这是因为:
(1)红光材料的较低激发态和基态之间能级差较小,激发态的分子非辐射失活更容易发生,因此量子效率不高;
(2)红光材料存在较强的T-T键相互作用,这会加剧分子的相互作用导致浓度淬灭;
(3)红光材料的HOMO 与 LUMO之间的能级差较小,根据器件相关的理论",不能**的同其他功能层匹配,影响器件的量子效率。
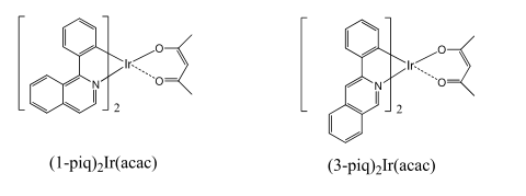
报道了系列苯基修饰的Ir(1-piq)z(acac)及Ir(3-piq)z(acac)配合物,发现Ir(1-piq)z(acac)系列配合物发射红光,而Ir(3-piq)z(acac)系列配合物发射黄光。表明相同的配体结构,仅是配体配位位置不同会引起**的发光性质差异。

环金属铱配合物除作为发光材料的应用外,近年来在催化相关领域的应用引起了大家的兴趣和诸多尝试与探索。其中有两个方面引人注目。一个是环金属铱(III)配合物做为光敏剂,参与到光催化水解过程,水分解反应通常分为析氢或者析氧二个半反应。析氢较析氧更容易进行,因为析氢涉及两个电子的还原而析氧需要四个电子的氧化。方向。催化领域的另一个尝试是作为光催化剂催化氧化还原反应。环金属铱配合物是配位饱和的,并且铱处于中心位置,因此缺乏光催化所需的与铱中心原子直接的相互作用的机会,但是环金属铱配合物可以通过光诱导分子间电子转移来触发氧化还原反应展示出催化活性。以[Ir(ppy)z(dtbbpy)]PF。为催化剂的光催化三级胺和硝基烷经的Aza-Henry反应,催化剂用量为1%摩尔量,较高产率达96%。
齐岳供应产品:
二[2-(4',6'-二氟苯基)吡啶-C^2,N'](吡啶-2-甲酸)合铱(Ⅲ)[(dfppy)2Ir(pic)]
D-A型环金属铱(III)配合物磷光材料环金属铱配合物(t-Bu.OXDdfppy)2Ir(pic—Cz)
红色磷光铱(III)配合物Ir(pcpiq)2acac:正丙基环己烷修饰红光铱(III)配合物
[(ppy)(2)Ir(N Lambda N)] :含吡咯亚胺基辅助配体的金属铱(III)配合物
二-[2-苯基吡啶(C^N)][5-取代-8-羟基喹啉(N^O)]铱(Ⅲ)配合物((C^N)2IrQ
环金属铱配合物(dfppy)_2Ir(C_nOOXDPh_6-pic)
基于萘基噁二唑衍生物环金属铱配合物(DFPhNOXD)2Ir(acac)
5-芳基-2-巯基噁二唑(Cn-OXT)和2,5-二巯基噻二唑衍生物(SX2T)
有机小分子双核环金属铂配合物电致磷光材料,即CnFPt、CnPtpiq和FPt2(FIrPic-C8-SX2T)2
配合物C8FPt、C8Ptpiq和FPt2(FIrPic-C8-SX2T)2
三(2-(螺[芴-9,9′-氧杂蒽]-2-基)苯并[d]噻唑)合铱(III)[fac-Ir(SFXbtz)3
细胞膜包载的铱配合物功能化黑色二氧化钛纳米粒子(Ir-B-TiO2@CCM)
[Ir(C^N)₂(N^N)]⁺ 八面体构型“磷光环金属化铱 (III) 配合物
硫配位金属有机铱(III)配合物pbtIrSS、ppyIrSS、pbtIrOO和ppyIrOO
红光发射的单核,双核和三核AIE Ir(Ⅲ)配合物PS1,PS2和PS3
线粒体靶向的具有二羟基蒽结构的蒽醌铱(III)配合物Ir4-red
贵金属铱的配合物[IrI(FCF3ppy)2(bpy)](PF6)
2[(dpq)2Ir(phen)](PF6)离子型环金属铱配合物
1[(pq)2Ir(phen)](PF6)波峰554.5 nm
3[(pqcm)2Ir(phen)](PF6)波峰621 nm
上述产品用于科研试剂!
小编:wyf 02.16




齐岳微信公众号
官方微信
库存查询