双戊二酸酰胺琥珀酰酯PEG GAS-PEG-GAS 戊二酸酰胺琥珀酰酯PEG戊二酸酰胺琥珀酰酯
发布时间:2023-12-28  作者:zyl  分享到:
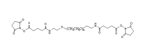
产品名称:二戊二酸酰胺琥珀酰酯聚乙二醇 双戊二酸酰胺琥珀酰酯PEG
英文名称: GAS-PEG-GAS
分子量:1k,2k,3.4k,5k,10k,20k(可按需定制)
质量控制:95%+
原料分散系数PDI:≤1.05
存储条件:-20°C,避光,避湿
用 途:仅供科研实验使用,不用于诊治
外观: 固体或粘性液体,取决于分子量
注意事项:取用一定要干燥,避免频繁的溶解和冻干
溶解性:溶于大部分有机溶剂,如:DCM、DMF、DMSO、THF等等。在水中有很好的溶解性

西安齐岳生物科技有限公司是一家集研发,生产,销售为一体的高科技企业,可提供合成磷脂、高分子聚乙二醇衍生物、嵌段共聚物、顺磁/超顺磁性纳米颗粒、纳米金及纳米金棒、近红外荧光染料、活性荧光染料、的葡聚糖BSA和链霉亲和素、蛋白交联剂、小分子PEG衍生物、点计化学产品、树枝状聚合物、环糊精衍生物、大环配体类、荧光量子点、透明质酸衍生物、石墨烯或氧化石墨烯、碳纳米管、富勒烯等等,可以满足不同客户的定制需求。
相关产品:
双戊二酸酰胺琥珀酰酯PEG
甲基丙烯酸酯PEG甲基丙烯酸酯
甲磺酸酯PEG甲磺酸酯
双硝基苯基碳酸酯PEG
氨基乙酰胺PE氨基乙酰胺
聚乳酸PEG聚乳酸
丁二酸-聚乙二醇-丁二酸
丁二酸酰胺-聚乙二醇-丁二酸酰胺
琥珀酰亚胺乙酸酯PEG琥珀酰亚胺乙酸酯
二琥珀酰亚胺戊二酸酯聚乙二醇
双N-琥珀酰亚胺丙酸酯PEG
对甲苯磺酸酯PEG对甲苯磺酸酯
二对甲苯磺酸酯-聚乙二醇
二对甲苯磺酸酯聚乙二醇




齐岳微信公众号
官方微信
库存查询