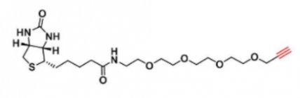
CAS:1458576-00-5;Biotin-PEG4-alkyne
产品名称 Biotin-PEG4-alkyne
中文名称 生物素-四乙二醇-炔基
英文名称 Biotin-PEG4-alkyne
分子量 457.58
CAS 1458576-00-5
分子式 C21H35N3O6S
存储条件 -20°冻存
保存时间 一年
性状 淡黄色或无色油状
品牌 西安齐岳生物科技有限公司
产地 西安
纯度 99%+
温馨提示:仅用于科研
关于我们:
西安齐岳生物科技有限公司是集化学科研和定制与一体的高科技化学公司。业务范围包括化学试剂和产品的研发、生产、销售等。涉及产品为通用试剂的分销、非通用试剂的定制与研发,涵盖生物科技、精细化学品、中间体和化工材料等领域。与多家品牌深度合作,渠道广阔,主营产品:原料药,天然产物,COF、MOF单体系列:三蝶烯衍生物、金刚烷衍生物、四苯甲烷衍生物、peg、上转换、石墨烯、光电材料、点击化学、凝集素、载玻片、蛋白质交联剂、脂质体、蛋白、多肽、氨基酸、糖化学等。

我们提供生物素的各种修饰试剂定制合成:
1.生物素点击化学
2.生物素荧光染料
3.生物素-羧基反应
4.生物素-胺反应
5.生物素-羰基反应
6.生物素-巯基反应
7.生物素-醇
8.生物素-可裂解
9.生物素-脱硫生物素
10.生物素标记
部分目录:
CAS:1910803-72-3;Biotin-PEG2-azide
CAS:258289-54-2;Biotin-丁氨酸-NHS
CAS:1418022-42-0;Biotin-PEG11-Amine
CAS:875770-34-6;Biotin-PEG3-azide
CAS:146987-10-2;Fmoc-Lys(biotinyl)-OH
CAS:145251-83-8;Biotinyl-Somatostatin-14
CAS:119616-38-5;Biotin-Sulfo-NHS ester
CAS:1628029-01-5;UV-Tracer Biotin NHS Ester
CAS:721431-18-1;Biotin-PEG4-acid
CAS:1309649-57-7;Biotin-PEG4-azide
CAS:N/A;Biotin-PEG4-PFP
CAS:1163732-89-5;Biotin-PEG5-azide
CAS:1964503-35-2;N-Biotin-N-bis(PEG4-acid)
CAS:459426-22-3;Biotin-PEG4-NHS ester




齐岳微信公众号
官方微信
库存查询