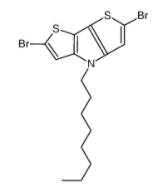
常用名 2,6-二溴-4-正辛基二噻吩并[3,2-b:2',3'-d]吡咯
英文名 2,6-Dibromo-4-n-octyldithieno[3,2-b:2',3'-d]pyrrole
CAS号 1346688-54-7
分子量 449.26700
密度 N/A
沸点 N/A
分子式 C16H19Br2NS2
熔点 N/A
闪点 N/A
质量 446.93300
PSA 61.41000
LogP 7.80300
外观性状 固体;Light orange to Yellow to Green powder to crystal
储存条件 室温

西安齐岳生物科技有限公司是一家集研发,生产,销售为一体的高科技企业,可提供合成磷脂、高分子聚乙二醇衍生物、嵌段共聚物、顺磁/超顺磁性纳米颗粒、纳米金及纳米金棒、近红外荧光染料、活性荧光染料、的葡聚糖BSA和链霉亲和素、蛋白交联剂、小分子PEG衍生物、点计化学产品、树枝状聚合物、环糊精衍生物、大环配体类、荧光量子点、透明质酸衍生物、石墨烯或氧化石墨烯、碳纳米管、富勒烯等等,可以满足不同客户的定制需求。
相关产品:
cas:173448-31-2
cas:333432-27-2
cas:1347736-74-6
cas:1231160-83-0
cas:389-58-2
cas:25796-77-4
cas:1304773-88-3
cas:1304773-89-4
cas:365547-21-3
cas:1024594-86-2
cas:1192352-08-1
cas:1294515-75-5
cas:1321590-78-6
cas:1160823-78-8
cas:1071224-34-4
cas:3593-75-7
cas:1336893-15-2
cas:1346688-54-7
![cas:1346688-54-7 2,6-二溴-4-正辛基二噻吩并[3,2-b:2',3'-d]吡咯-UDP糖丨MOF丨金属有机框架丨聚集诱导发光丨推荐西安齐岳生物](/images/logo.png)



齐岳微信公众号
官方微信
库存查询