CAS 1365655-89-5;生物素-二聚乙二醇-羧基;Biotin-PEG2-COOH;Biotin-PEG2-Acid
发布时间:2024-01-04  作者:wqy  分享到:
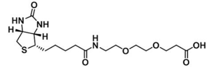
CAS 1365655-89-5;生物素-二聚乙二醇-羧基;Biotin-PEG2-COOH;Biotin-PEG2-Acid
产品名称 Biotin-PEG2-Acid;1365655-89-5
中文名称 生物素二聚乙二醇丙酸;生物素-二聚乙二醇-羧基
英文名称 Biotin-PEG2-COOH;Biotin-PEG2-Acid;(+)-Biotin-PEG2-Acid
分子量 403.49
CAS 1365655-89-5
分子式 C17H29N3O6S
存储条件 -20°冷冻保存,惰性气体保护
保存时间 一年
状态 淡黄色至白色固体
品牌 西安齐岳生物科技有限公司
产地 西安
纯度 99%+
温馨提示:仅用于科研

关于我们:
西安齐岳生物科技有限公司是集化学科研和定制与一体的高科技化学公司。业务范围包括化学试剂和产品的研发、生产、销售等。涉及产品为通用试剂的分销、非通用试剂的定制与研发,涵盖生物科技、精细化学品、中间体和化工材料等领域。与多家品牌深度合作,渠道广阔,主营产品:原料药,天然产物,COF、MOF单体系列:三蝶烯衍生物、金刚烷衍生物、四苯甲烷衍生物、peg、上转换、石墨烯、光电材料、点击化学、凝集素、载玻片、蛋白质交联剂、脂质体、蛋白、多肽、氨基酸、糖化学等。
部分目录:
CAS:55683-37-9
炔基-聚乙二醇-羧基
Propargyl-PEG1-COOH
CAS:929-75-9
氨基三聚乙二醇乙胺
Amine-PEG3-amine
NH2-PEG3-NH2
CAS:1174157-65-3
炔基-聚乙二醇-活性酯




齐岳微信公众号
官方微信
库存查询