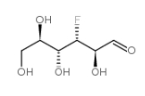
CAS:87764-46-3 3-脱氧-3-氟-d-甘露糖 3-deoxy-3-fluoro-d-mannose
发布时间:2024-01-05  作者:zyl  分享到:
常用名 3-脱氧-3-氟-D-甘露糖
英文名 3-deoxy-3-fluoro-d-mannose
CAS号 87764-46-3
分子量 182.14700
密度 1.494g/cm3
沸点 503.2ºC at 760 mmHg
分子式 C6H11FO5
熔点 152-154ºC
闪点 258.1ºC
质量 182.05900
PSA 97.99000
折射率 1.505
储存条件 -20°C

西安齐岳生物科技有限公司是集化学科研和定制与一体的高科技化学公司。业务范围包括化学试剂和产品的研发、生产、销售等。涉及产品为通用试剂的分销、非通用试剂的定制与研发,涵盖生物科技、精细化学品、中间体和化工材料等领域。与多家品牌深度合作,渠道广阔,主营产品:原料药,天然产物,COF、MOF单体系列:三蝶烯衍生物、金刚烷衍生物、四苯甲烷衍生物、peg、上转换、石墨烯、光电材料、点击化学、凝集素、载玻片、蛋白质交联剂、脂质体、蛋白、多肽、氨基酸、糖化学等。
相关产品:
CAS:87764-46-3
CAS:95058-90-5
Cas:40010-20-6
CAS:4536-08-7
CAS:29218-07-3
CAS:51146-53-3
CAS:7226-39-3
CAS:6304-86-5
CAS:34339-82-7
CAS:22933-89-7
CAS:87764-47-4
CAS:144993-82-8




齐岳微信公众号
官方微信
库存查询