P005672,CAS:1035979-44-2,P005672hydrochloride,Sarecyclinehydrochloride原料药
发布时间:2022-03-02  作者:zhn  分享到:
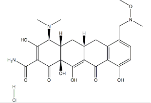
P005672 CAS:1035979-44-2
中文名称:(4S,4AS,5AR,12AS)-4-(二甲基氨基)-1,4,4A,5,5A,6,11,12A-八氢-3,10,12,12A-四羟基-7-[(甲氧基甲基氨基)甲基]-1,11-二氧代-2-并四苯甲酰胺盐酸盐
英文名称:P005672hydrochloride
CAS号:1035979-44-2
分子式:C24H30ClN3O8
分子量:523.9633
P005672 CAS:1035979-44-2的结构式

P005672 CAS:1035979-44-2的生物活性
Sarecyclinehydrochloride是一种窄谱四环素类抗生素。Sarecyclinehydrochloride具有抗炎作用和对革**兰氏阳性菌的**活性,包括对多种痤疮角质杆菌的活性。Sarecyclinehydrochloride干扰tRNA调节并将mRNA与70S核糖体结合。
厂家:西安齐岳生物
货期:现货
配送:顺丰快递上门
用途:科研
状态:固体/粉末
产地:西安
储存时间:1年
保存:冷藏
储藏条件:-20℃

西安齐岳生物科技有限公司于2015年7月成立的西安一家从事,**化学,生命科学的科研试剂公司,从2015年发展至今,公司销售产品种类多达上百种,经营产品超十几万个,公司一直致力于为科研客户提供优质的产品,广泛的产品种类,有价格竞争力的科研试剂。
相关产品:
| NH2-Uio-66 | Q-0003231 |
| TPE-4TA | QY-C-TA4 |
| FITC-Transferrin转铁蛋白 | Q-0027828 |
| NP-BSA (Bovine Serum Albumin), Ratio 10-19 | Q-C-NB19 |
| NP-BSA-Biotin | Q-C-NBB1 |
| NP-KLH | Q-C-NK20 |
| FITC-OVA | Q-0032025 |
| 丙烯酰氧丙基笼型聚倍半硅氧烷 | Q-0036380 |
| 八环氧环己基乙基笼状聚倍半硅氧 | Q-0084610 |
| 链霉亲和素修饰CdSe/ZnS 浓度8um 波长:610nm | Q-Y015468 |
| 连续ITO-pet薄膜,pet厚度是0.175mm,尺寸300mm×300mm,15Ω/sq | Q-QY16466 |
用途:科研
产地:西安
纯度:98%
供应商:西安齐岳生物科技有限公司




齐岳微信公众号
官方微信
库存查询