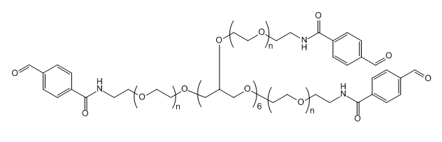
8-ArmPEG-DF 八臂聚乙二醇-4-甲酰基-苯甲酰胺
发布时间:2024-01-10  作者:wyh  分享到:
中文名称:八臂聚乙二醇-4-甲酰基-苯甲酰胺
英文名称:8-ArmPEG-DF
产品纯度:
≥95%
产品用途:
应用于医学研究,药物释放,纳米技术和新材料研究,细胞培养。 以及配体研究,多肽合成支持,接枝高分子化合物,新材料和聚乙二醇改性功能涂层等活性化合物方面。
PEG分子量可选:350、550、750、1k、2k、34k、5k等
品牌 西安齐岳生物科技有限公司
产地 西安
温馨提示:仅用于科研

关于我们:
西安齐岳生物科技有限公司是国内的PEG供应商,可以提供不同分子量的PEG衍生物,小分子PEG的循环节可以做到1-36个,高分子PEG分子量从1000-40000不等,可以修饰的基团有:氨基类,NHBOC类,Fmoc类,羧酸类,Mal类,NHS类,叠氮类,DBCO类,Cy3/Cy5/Cy7类,THP类,苄基类,丙炔基类,溴代类,丙酸叔丁酯类,乙酸叔丁酯类,甲基类,生物素类,五氟苯酚类,磺酸酯类,巯基类,产品纯度高达98%以上。
部分目录:
丙炔基-十三聚乙二醇-丙酸叔丁酯
CAS:73342-16-2
叠氮十二聚乙二醇羟基
azide-PEG2-alcohol
叠氮十聚乙二醇活性酯
Azide-PEG10-NHS ester
N3-PEG10-NHS
甲基-十一聚乙二醇-羧酸




齐岳微信公众号
官方微信
库存查询