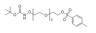
Boc-Aminoxy-PEG4-Tos; CAS :1807539-01-0;分子式:C20H33NO9S
发布时间:2024-01-11  作者:wqy  分享到:
英文名称:Boc-Aminoxy-PEG4-Tos
CAS No.:
1807539-01-0
产品纯度:
≥95%
分子式:
C20H33NO9S
分子量:
463.5
产品用途:
应用于医学研究,药物释放,纳米技术和新材料研究,细胞培养。 以及配体研究,多肽合成支持,接枝高分子化合物,新材料和聚乙二醇改性功能涂层等活性化合物方面。
品牌 西安齐岳生物科技有限公司
产地 西安
温馨提示:仅用于科研

关于我们:
西安齐岳生物科技有限公司是国内的PEG供应商,可以提供不同分子量的PEG衍生物,小分子PEG的循环节可以做到1-36个,高分子PEG分子量从1000-40000不等,可以修饰的基团有:氨基类,NHBOC类,Fmoc类,羧酸类,Mal类,NHS类,叠氮类,DBCO类,Cy3/Cy5/Cy7类,THP类,苄基类,丙炔基类,溴代类,丙酸叔丁酯类,乙酸叔丁酯类,甲基类,生物素类,五氟苯酚类,磺酸酯类,巯基类,产品纯度高达98%以上。
部分目录:
m-PEG6-alcohol
CAS:2028284-75-3
羧基四聚乙二醇甲氧甲酰基
Carboxy-PEG4-mono-methyl ester
CAS:62921-76-0
甲基-五聚乙二醇-对甲苯磺酸酯
mPEG5-OTs
CAS:19364-66-0
二聚乙二醇-双酸
Acid-PEG-acid




齐岳微信公众号
官方微信
库存查询