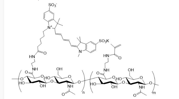
Cy5-HA-MA Cy5标记甲基丙烯酸酯化透明质酸
发布时间:2024-01-11  作者:zhn  分享到:
Cy5-HA-MA Cy5标记甲基丙烯酸酯化透明质酸
中文名称:Cy5标记甲基丙烯酸酯化透明质酸
英文名称:Cy5-HA-MA
CAS NO:N/A
产地:西安
是否定制:可定制
供应商:西安齐岳生物科技有限公司
温馨提醒:仅供科研,不能用于人体实验

相关产品:
互穿网络水凝胶P(NVP-co-β-HPA)/PAA
温度敏感性水凝胶定制
Ph敏感性水凝胶定制
智能响应型水凝胶定制
聚N-异丙基丙烯酰胺 (polyNIPAAm)水凝胶
高敏感pH响应型智能水凝胶
温度及pH敏感N-异丙基丙烯酰胺/β-环糊精水凝胶
聚乙烯醇(PVA)水凝胶
温敏性壳聚糖水凝胶定制
pH及温度敏感性水凝胶定制
温度和pH双重敏感的P(DEAM-co-MAA)水凝胶
含有4,4′-双(甲基丙烯酰胺基)偶氮苯水凝胶




齐岳微信公众号
官方微信
库存查询