DSPE-SS-PEG-FA;应用于医学研究
发布时间:2024-01-11  作者:wqy  分享到:
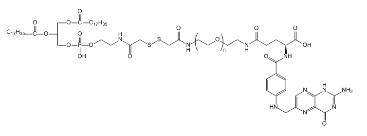
英文名称:DSPE-SS-PEG-FA
产品纯度:
≥95%
产品用途:
应用于医学研究,药物释放,纳米技术和新材料研究,细胞培养。 以及配体研究,多肽合成支持,接枝高分子化合物,新材料和聚乙二醇改性功能涂层等活性化合物方面。
西安齐岳生物科技有限公司
产地 西安
温馨提示:仅用于科研

关于我们:
西安齐岳生物科技有限公司是国内的PEG供应商,可以提供不同分子量的PEG衍生物,小分子PEG的循环节可以做到1-36个,高分子PEG分子量从1000-40000不等,可以修饰的基团有:氨基类,NHBOC类,Fmoc类,羧酸类,Mal类,NHS类,叠氮类,DBCO类,Cy3/Cy5/Cy7类,THP类,苄基类,丙炔基类,溴代类,丙酸叔丁酯类,乙酸叔丁酯类,甲基类,生物素类,五氟苯酚类,磺酸酯类,巯基类,产品纯度高达98%以上。
部分目录:
CAS:16024-66-1
四甘醇单甲醚乙酸
单甲氧基五聚乙二醇羧甲基
m-PEG5-CH2COOH
CAS:642091-68-7
叠氮三聚乙二醇叔丁氧羰基
BocNH-PEG3-CH2CH2N3
CAS:23601-40-3
六甘醇单甲醚
六聚乙二醇单甲醚
mPEG6-OH
m-PEG6-alcohol
CAS:2028284-75-3
羧基四聚乙二醇甲氧甲酰基
Carboxy-PEG4-mono-methyl ester
CAS:62921-76-0
甲基-五聚乙二醇-对甲




齐岳微信公众号
官方微信
库存查询