DSPE-PEG-c(RGDyK);应用于医学研究
发布时间:2024-01-11  作者:wqy  分享到:
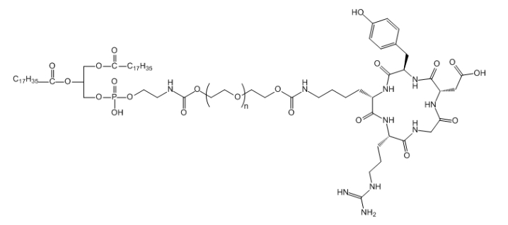
英文名称:DSPE-PEG-c(RGDyK)
产品纯度:
≥95%
产品用途:
应用于医学研究,药物释放,纳米技术和新材料研究,细胞培养。 以及配体研究,多肽合成支持,接枝高分子化合物,新材料和聚乙二醇改性功能涂层等活性化合物方面。
西安齐岳生物科技有限公司
产地 西安
温馨提示:仅用于科研

关于我们:
西安齐岳生物科技有限公司是国内的PEG供应商,可以提供不同分子量的PEG衍生物,小分子PEG的循环节可以做到1-36个,高分子PEG分子量从1000-40000不等,可以修饰的基团有:氨基类,NHBOC类,Fmoc类,羧酸类,Mal类,NHS类,叠氮类,DBCO类,Cy3/Cy5/Cy7类,THP类,苄基类,丙炔基类,溴代类,丙酸叔丁酯类,乙酸叔丁酯类,甲基类,生物素类,五氟苯酚类,磺酸酯类,巯基类,产品纯度高达98%以上。
部分目录:
mPEG5-OTs
CAS:19364-66-0
二聚乙二醇-双酸
Acid-PEG-acid
CAS:166388-57-4
氨基-二聚乙二醇-叠氮
N3-PEG2-NH2
CAS:65869-63-8
双-二聚乙二醇-酯
Bis-PEG2-NHS ester
CAS:5617-32-3
七甘醇
七聚乙二醇
HO-PEG7-OH
Heptaethylene glycol
CAS:518044-49-0
羟基三聚乙二醇丙酸
Hydroxy-PEG3-acid
醛基-五聚乙二醇-羧基
CHOCH2-PEG5-COOH




齐岳微信公众号
官方微信
库存查询