氨基-聚乙二醇-四臂 4 arm-PEG-NH2 氨基PEG四臂
发布时间:2024-01-12  作者:zyl  分享到:
产品化学性质
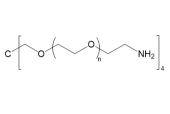
4ARM-PEG-NH2是一种具有多个活性伯胺基的PEG衍生物,可用于制备水凝胶或修饰蛋白质、多肽等材料。胺基可以与多种官能团如COOH、NHS、醛等发生反应。聚乙二醇化可以增加多肽和蛋白质的溶解度和稳定性,降低其免疫原性。它还可以抑制带电分子与修饰表面的非特异性结合。

产品名称:氨基-聚乙二醇-四臂 氨基PEG四臂
英文名称: 4 arm-PEG-NH2
分子量:1k,2k,3.4k,5k,10k,20k(可按需定制)
质量控制:95%+
原料分散系数PDI:≤1.05
存储条件:-20°C,避光,避湿
用 途:仅供科研实验使用,不用于诊治
外观: 固体或粘性液体,取决于分子量
注意事项:取用一定要干燥,避免频繁的溶解和冻干
溶解性:溶于大部分有机溶剂,如:DCM、DMF、DMSO、THF等等。在水中有很好的溶解性
相关产品:
氨基PEG巯基
氨基PEG生物素
氨基PEG醛基
氨基PEG巯基吡啶
氨基PEG羟基
氨基PEG酰基
氨基PEG缬草酸
氨基PEG丙烯酰胺
氨基PEG溴化物
氨基PEG乙烯砜
氨基PEG甲基丙烯酸酯
氨基PEG碘乙酸盐
氨基PEG氯化物
氨基PEG四臂




齐岳微信公众号
官方微信
库存查询