8-ArmPEG-Methacrylate;八臂聚乙二醇-甲基丙烯酸酯
发布时间:2024-01-15     作者:wqy   分享到:
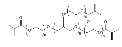
中文名称:八臂聚乙二醇-甲基丙烯酸酯
英文名称:8-ArmPEG-MA
英文别名:
8-ArmPEG-Methacrylate
产品纯度:
≥95%
产品用途:
应用于医学研究,药物释放,纳米技术和新材料研究,细胞培养。 以及配体研究,多肽合成支持,接枝高分子化合物,新材料和聚乙二醇改性功能涂层等活性化合物方面。
西安齐岳生物科技有限公司
产地 西安
温馨提示:仅用于科研

关于我们:
西安齐岳生物科技有限公司是国内的PEG供应商,可以提供不同分子量的PEG衍生物,小分子PEG的循环节可以做到1-36个,高分子PEG分子量从1000-40000不等,可以修饰的基团有:氨基类,NHBOC类,Fmoc类,羧酸类,Mal类,NHS类,叠氮类,DBCO类,Cy3/Cy5/Cy7类,THP类,苄基类,丙炔基类,溴代类,丙酸叔丁酯类,乙酸叔丁酯类,甲基类,生物素类,五氟苯酚类,磺酸酯类,巯基类,产品纯度高达98%以上。
部分目录:
四聚乙二醇丙酸叔丁酯
Hydroxy-PEG4-t-butyl ester
CAS:518044-32-1
四聚乙二醇丙酸叔丁酯
xHydroxy-PEG4-t-butyl ester
CAS:951671-87-7
DNP-PEG3-Azide
CAS:951671-87-7
Azide-PEG3-DNP
CAS:1807520-99-5
DNP-PEG4-OH
CAS:1347760-82-0




齐岳微信公众号
官方微信
库存查询