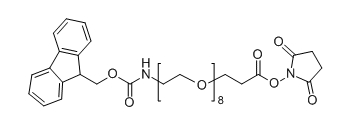
CAS: 1334170-03-4;Fmoc-NH-PEG8-NHS;分子式:C38H52N2O14
发布时间:2024-01-16  作者:wqy  分享到:
英文名称:Fmoc-NH-PEG8-NHS
CAS No.:
1334170-03-4
产品纯度:
≥95%
分子式:
C38H52N2O14
分子量:
760.8
产品用途:
应用于医学研究,药物释放,纳米技术和新材料研究,细胞培养。 以及配体研究,多肽合成支持,接枝高分子化合物,新材料和聚乙二醇改性功能涂层等活性化合物方面。
齐岳生物科技有限公司
产地 西安
温馨提示:仅用于科研

关于我们:
西安齐岳生物科技有限公司是国内的PEG供应商,可以提供不同分子量的PEG衍生物,小分子PEG的循环节可以做到1-36个,高分子PEG分子量从1000-40000不等,可以修饰的基团有:氨基类,NHBOC类,Fmoc类,羧酸类,Mal类,NHS类,叠氮类,DBCO类,Cy3/Cy5/Cy7类,THP类,苄基类,丙炔基类,溴代类,丙酸叔丁酯类,乙酸叔丁酯类,甲基类,生物素类,五氟苯酚类,磺酸酯类,巯基类,产品纯度高达98%以上。
部分目录:
CAS:1374658-84-0
炔基-三聚乙二醇-叔丁酯
Alkyne-PEG3-COOtBu
CAS:86770-67-4
叠氮四聚乙二醇羟基
azide-PEG4-OH
CAS:721431-18-1
生物素四聚乙二醇丙酸
(+)-Biotin-PEG4-Acid
CAS:1245718-89-1
叠氮三聚乙二醇活性酯
N3-PEG3-NHS




齐岳微信公众号
官方微信
库存查询