CAS 112193-75-6;DO-(CH2COOH)2的保存时间
发布时间:2024-01-29  作者:wyh  分享到:
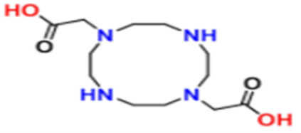
产品名称 DO-(CH2COOH)2,112193-75-6
英文名称 DO-(CH2COOH)2
分子量 288.35
CAS 112193-75-6
分子式 C12H24N4O4
存储条件 -20°C
保存时间 一年
颜色 White Solid

关于我们
西安齐岳生物科技有限公司是国内的双功能螯合剂衍生物供应商,可以提供不同分子量的双功能螯合剂衍生物,可以提供的相关产品包括:NOTA、DOTA、DTPA、Deferoxamine、Cyclen、H3RESCA、Octaaminocryptands、其它双功能螯合剂,产品纯度高达98%以上。
相关产品:
产品名称详细介绍
DOTA,60239-18-1
DOTA mono-NHS, ester170908-81-3
DOTA-Maleimide,1006711-90-5
DOTA-DBCO,N/A
DOTA-azide,1227407-76-2
DOTA-butyne,2125661-62-1
DOTA-p-NH2-Bn-biotin,180978-54-5




齐岳微信公众号
官方微信
库存查询