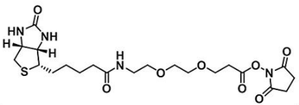
Biotin-PEG2-NHS ester;596820-83-6;生物素二聚乙二醇活性酯
发布时间:2024-01-29  作者:wyh  分享到:
产品名称 Biotin-PEG2-NHS ester;596820-83-6
中文名称 生物素二聚乙二醇活性酯
英文名称 Biotin-PEG2-NHS ester;(+)-Biotin-PEG2-NHS Ester
分子量 500.57
CAS 596820-83-6
分子式 C21H32N4O8S
存储条件 -20°冷冻保存,惰性气体保护
保存时间 一年
状态 淡黄色至白色固体

关于我们
西安齐岳生物科技有限公司是国内的精确分子量PEG衍生物供应商,可以提供不同分子量的精确分子量PEG衍生物,可以提供的相关产品包括:mPEG-X、X-PEG-X、Amine-PEG-X、Acid-PEG-X、HO-PEG-X、Azide-PEG-X、Alkyne-PEG-X、Amineoxy-PEG-X、Boc-NH-PEG-X、DNP-PEG-X、COOtBu-PEG-X、AcS-PEG-X、Br-PEG-X、SPDP-PEG-X、Benzyl-PEG-OH、Fmoc-NH-PEG-X、Biotin-PEG-X、Fluorescent-PEG-X、CHO-Ph-PEG-X、CHO-PEG-X,产品纯度高达98%以上。
相关产品:
产品名称详细介绍
DNP-PEG6-OH
Alkyne-PEG4-acid;1415800-32-6
COOtBu-PEG4-DNP;DNP-PEG4-t-butyl ester
Amine-PEG6-amine,76927-70-3
Alkyne-PEG5-NHS ester;1393330-40-9
CHO-Ph-PEG5-COOtBu;醛基-Ph-五聚乙二醇-叔丁酯
Amine-PEG5-NH-Boc,189209-27-6




齐岳微信公众号
官方微信
库存查询