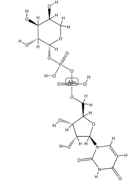
CAS号:15839-78-8UDP-阿拉伯糖,UDP-B-L-阿拉伯糖二钠盐;UDP-Β-L-阿拉伯糖,UDP-L-arabinose
发布时间:2022-04-07  作者:lh  分享到:
中文名称:UDP-阿拉伯糖
中文同义词:UDP-B-L-阿拉伯糖二钠盐;UDP-阿拉伯糖;UDP-Β-L-阿拉伯糖
英文名称:UDP-L-arabinose
英文同义词:
UDP-L-arabinose;UDP-β-L-Arap;UDP-β-L-Ara.2Na;UDP-b-L-arabinopyranosedisodiumsalt;UDP-b-L-arabinopyranose;Uridine5'-(trihydrogendiphosphate),P'-β-L-arabinopyranosylester

CAS号:15839-78-8
分子式:C14H22N2O16P2
分子量:536.28
产地:西安
纯度:99%
用途:仅用于科研
以上资料来自小编lh 2022年4月7日
温馨提示:仅用于科研,不能用于人体实验!
西安齐岳生物科技有限公司是一家从事MOF,离子液体 ,PEG衍生物、科研试剂、多肽、光电材料、碳纳米管、纳米材料、脂质体、合成磷脂的研发、定制合成、生产和销售的生物科技有限公司
齐岳生物供应
UDP-glucose;UDP-葡萄糖
UDP-Xylose,UDP-木糖cas36*6-06-6
UDP-Arabinose ,UDP-阿拉伯糖
UDP-鼠李糖,*955-26-6
UDP-Glucuronic acid, UDP-GlcA, UDPGA, CAS 63700-*9-6
UDP-阿拉伯糖
UDP-GlcA




齐岳微信公众号
官方微信
库存查询