HSA-FITC,FITC-透明质酸
英文品名: Hyaluronate-Fluorescein, MW 20kDa
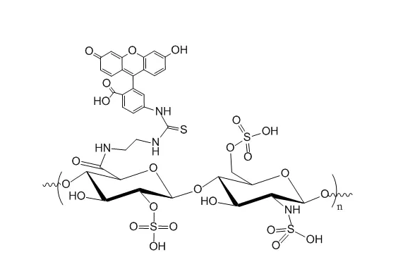
中文品名: 透明质酸酯-荧光素, MW 20kDa
规格: 50mg/200mg/500mg
外观:黄色粉末
分子量:10K 20K 30K
纯度:95% powder
描述: Hyaluronic Acid is labeled with fluorescein, Ex/Em wavelength 494/518 nm. Purity: >95% powder. Degree of substitution: 1 mol % substitution and at least one dye molecule per polymer. Literature:
1) Preparation and properties of fluorescein-labeled hyaluronate. Carbohydrate Research,1975,44(2):251-7.
2) Hyaluronic acid based scaffolds for tissue engineering—A review, Carbohydrate Polymers 2013, 92(2):1262– 1279.
3) An insight on hyaluronic acid in drug targeting and drug delivery,
可接基团:Hyaluronic Acid-NH2/COOH/NHS/MAL/N3/Biotin/Acrylate/SH/FITC/RB/PEG

其他透明质酸衍生产品:
Hyaluronate-Fluorescein FITC标记透明质酸
Hyaluronate-NHS 活化脂标记透明质酸
Hyaluronate-NH2 氨基标记透明质酸,NH2标记透明质酸
Hyaluronate-Mal 马来酰亚胺修饰透明质酸钠
Hyaluronate-Thiol 巯基修饰透明质酸
Hyaluronate-Biotin 生物素标记透明质酸
Hyaluronate-PEG, 聚乙二醇共聚透明质酸
Hyaluronate-Rhodamine 罗丹明修饰透明质酸
Biotin-Hyaluronate-Fluorescein,
Hyaluronate-Acrylate 透明质酸-丙烯酸盐
订购与说明:
1、部分库存产品备有现货,一般情况下都能订货当日发货
2、部分非常用产品,需提前1-2日预订,海外期货则需要提前3-6周预订
3、部分产品价格会因货期、批次等因素发生变化,若有变动以订货当日价格为准
4、售后:如遇质量问题,支持退换货
5、运输:低温运输,齐岳**冰袋包装
6、储藏:-20℃
7、技术产品:请咨询销售
8、货期:3-7天
9、保质期:1年
仅用于用于科研,不能用于人体试验(zyl 2022.04.11)




齐岳微信公众号
官方微信
库存查询