TCO-PEG-NH2 反式环辛烯聚乙二醇氨基
发布时间:2024-02-19  作者:wqy  分享到:
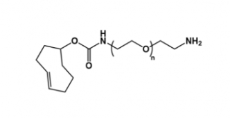
产品名称 TCO-PEG-NH2 反式环辛烯聚乙二醇氨基
中文名称 反式环辛烯聚乙二醇氨基
英文名称 TCO-PEG-NH2
分子量 5000
存储条件 -20°冷冻,干燥保存
保存时间 一年
产品信息 反式环辛烯(TCO)作为亲双烯体与S-四嗪(Tetrazine)在生理条件下的反应有无需催化剂、反应速率快的优点,被广泛应用于生物和的研究中。
产地 西安
温馨提示:仅用于科研

关于我们
西安齐岳生物科技有限公司是国内的点击化学供应商,可以提供不同分子量的点击化学衍生物,产品类型包括:叠氮-聚乙二醇、炔基-聚乙二醇、二苯基环辛炔(DBCO)、反式环辛烯 (TCO)、环丙烷环辛炔(BCN)、1,2,4,5-四嗪 (S-Tetrazine)、铜加速配体、环丙烯,产品纯度高达98%以上。
部分目录:
MAL-PEG-N3
TCO-PEG-FA
叶酸-聚乙二醇-反式环辛烯
BCN-PEG-DSPE
环丙烷环辛炔聚乙二醇磷脂
TCO-PEG-FITC
反式环辛烯聚乙二醇荧光素
叠氮聚乙二醇丙烯酸酯
N3-PEG-AC
BCN-PEG-cRGD
环丙烷环辛炔聚乙二醇环肽cRGD
TCO-PEG-CY5
反式环辛烯聚乙二醇Cy5
TCO-PEG-CY7
反式环辛烯聚乙二醇Cy7




齐岳微信公众号
官方微信
库存查询