BCN-PEG-RGD 环丙烷环辛炔聚乙二醇线肽RGD
发布时间:2024-02-19  作者:wqy  分享到:
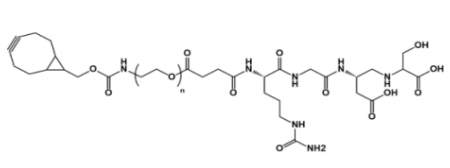
产品名称 BCN-PEG-RGD 环丙烷环辛炔聚乙二醇线肽RGD
中文名称 环丙烷环辛炔聚乙二醇线肽RGD
英文名称 BCN-PEG-RGD
分子量 5000
CAS N/A
溶解度 DMSO,CHCl3,甲醇
存储条件 -20°冷冻
保存时间 一年
产品信息 双环[6,1,0]壬炔 (BCN) (环丙烷环辛炔)可以通过无铜的点击化学与叠氮化物标记的分子或生物分子反应生成稳定的三氮唑连接。
产地 西安
温馨提示:仅用于科研

关于我们
西安齐岳生物科技有限公司是国内的点击化学供应商,可以提供不同分子量的点击化学衍生物,产品类型包括:叠氮-聚乙二醇、炔基-聚乙二醇、二苯基环辛炔(DBCO)、反式环辛烯 (TCO)、环丙烷环辛炔(BCN)、1,2,4,5-四嗪 (S-Tetrazine)、铜加速配体、环丙烯,产品纯度高达98%以上。
部分目录:
MAL-PEG-N3
TCO-PEG-FA
叶酸-聚乙二醇-反式环辛烯
BCN-PEG-DSPE
环丙烷环辛炔聚乙二醇磷脂
TCO-PEG-FITC
反式环辛烯聚乙二醇荧光素
叠氮聚乙二醇丙烯酸酯
N3-PEG-AC
BCN-PEG-cRGD
环丙烷环辛炔聚乙二醇环肽cRGD
TCO-PEG-CY5
反式环辛烯聚乙二醇Cy5
TCO-PEG-CY7
反式环辛烯聚乙二醇Cy7
BCN-PEG-RGD
环丙烷环辛炔聚乙二醇线肽RGD
叠氮聚乙二醇丙烯酰胺




齐岳微信公众号
官方微信
库存查询