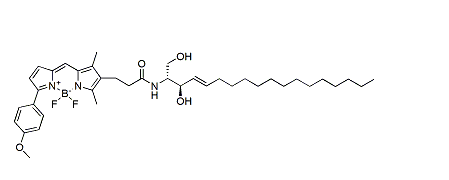
BDP TMR ceramide,MW: 679.7,BDP TMR连接体/染料
发布时间:2024-02-23     作者:axc   分享到:
BDP TMR ceramide,MW: 679.7,BDP TMR连接体/染料
BDP TMR羧酸是具有羧酸的BDP TR连接体。BDP TMR染料在显微镜和荧光偏振测定中很受欢迎。末端羧酸可以在活化剂(例如EDC或HATU)的存在下与伯胺基团反应,形成稳定的酰胺键。
Name: BDP TMR ceramide
Formula: C39H56BF2N3O4
MW: 679.7
纯度:98%
储藏条件:-20°C 下避光保存
用途:科研
状态:固体/粉末/溶液
厂家:西安齐岳生物
结构式:

西安齐岳生物科技有限公司提供种类众多的化学产品,包括peg衍生物,小分子Linker交联剂,卟啉酞菁类大环化合物和大环配体和中间体产品以及其他定制结构的有机化学合成产品,我们公司可以提供纳米载体制剂脂质体。
相关产品:
2,4-Difluororesorcinol|CAS195136-71-1|2,4-二氟间苯二酚
5(6)-CR6G|5-(and 6)-Carboxyrhodamine 6G|5-(和6)-羧甲基罗丹明6G
Calcein|UltraPure Grade|CAS154071-48-4|钙黄绿素超纯级
5-FITC ethylenediamine|CAS75453-82-6|异硫氰酸荧光素乙二胺
FMOC-Lys(5-FITC)-OH|FMOC-赖氨酸(5-FITC)-羟基
仅供科研,不能用于人体实验AXC.2024.02.21




齐岳微信公众号
官方微信
库存查询