mPEG-PLA-MAL 甲氧基聚乙二醇聚乳酸马来酰亚胺
发布时间:2024-02-23     作者:wqy   分享到:
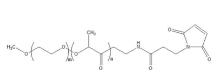
产品名称 甲氧基聚乙二醇聚乳酸马来酰亚胺,mPEG-PLA-MAL
中文名称 甲氧基聚乙二醇-b-聚丙交酯-马来酰亚胺
英文名称 Methoxy poly(ethylene glycol)-b-poly(lactide)- Maleimide
分子量 根据客户要求定制PEG,PLA分子量
溶解度 DMF, DMSO等有机溶剂
存储条件 -20°避光干燥
保存时间 一年
产品信息 用于制备胶束或者囊泡等新型靶向产品,末端含有马来酰亚胺, 可以和含有巯基的小分子,药物或者多肽偶联
产地 西安
温馨提示:仅用于科研

关于我们
西安齐岳生物科技有限公司经营的产品种类包括有:合成磷脂、高分子聚乙二醇衍生物、嵌段共聚物、磁性纳米颗粒、纳米金及纳米金棒、近红外荧光染料、活性荧光染料、的葡聚糖BSA和链霉亲和素、蛋白交联剂、小分子PEG衍生物、点击化学产品、树枝状聚合物、环糊精衍生物、大环配体类、荧光量子点、透明质酸衍生物、石墨烯或氧化石墨烯、碳纳米管、富勒烯,二氧化硅及介孔二影产品,荧光蛋白及荧光探针等等。
部分目录:
PCL-PEG-COOH
二聚乳酸聚乙二醇
PLA-PEG-PLA
聚己内酯聚乙二醇马来酰亚胺
PCL-PEG-MAL
聚乳酸羟基乙酸共聚物聚乙二醇巯基
PLGA-PEG-SH
聚乳酸-羟基乙酸共聚物聚乙二醇氨基
PLGA-PEG-NH2
二聚己内酯聚乙二醇
PCL-PEG-PCL
聚乳酸羟基乙酸共聚物聚乙二醇磷脂
PLGA-PEG-DSPE




齐岳微信公众号
官方微信
库存查询