BDP TR DBCO,BDP TR 二苯基环辛炔,BDP TR染料
发布时间:2024-02-23     作者:axc   分享到:
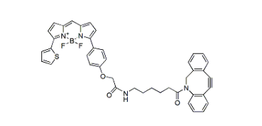
BDP TR DBCO,BDP TR 二苯基环辛炔,BDP TR染料
Name: BDP TR DBCO
Formula: C42H35BF2N4O3S
MW: 724.6
纯度:98%
储藏条件:-20°C 下避光保存
用途:科研
状态:固体/粉末/溶液
厂家:西安齐岳生物
结构式:

西安齐岳生物科技有限公司提供种类众多的化学产品,包括peg衍生物,小分子Linker交联剂,卟啉酞菁类大环化合物和大环配体和中间体产品以及其他定制结构的有机化学合成产品,我们公司可以提供纳米载体制剂脂质体。
相关产品:
5-FAM alkyne 5-羧基荧光素炔烃
5-FAM alkyne 5-羧基荧光素炔烃
5-FAM 5-羧基荧光素| CAS:76823-03-5
5(6)-羧基二乙酸荧光素琥珀酰亚胺酯 CFSE cas:150347-59-4
5(6)-氨基荧光素/海藻酸钠
5(6)-FAM-C6-OH;5/6-(N-6-羟基己基)酰胺荧光素
5(6)-FAM, SE 117548-22-8 5(6)羧基荧光素琥珀酰亚胺酯
仅供科研,不能用于人体实验AXC.2024.02.21




齐岳微信公众号
官方微信
库存查询