PLA-PEG-PEI 聚乳酸聚乙二醇聚乙烯亚胺
发布时间:2024-02-23     作者:wqy   分享到:
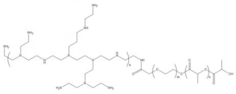
产品名称 聚乳酸聚乙二醇聚乙烯亚胺, PLA-PEG-PEI
中文名称 聚乳酸-聚乙二醇-聚乙烯亚胺三嵌段共聚物
英文名称 PLA-PEG-PEI
分子量 PEG:10000; PLA/PEI分子量根据要求定制
溶解度 ChloChloroform,Dichloromethaneroform
存储条件 -20°干燥避光
保存时间 一年
产品信息 PLA-PEG-PEI、聚(D,L-丙交酯)-聚乙二醇-聚乙烯亚胺是一种三嵌段共聚物,PLA-PEG-PEI是一种阳离子聚合物,可用于给药系统等。
产地 西安
温馨提示:仅用于科研

关于我们
西安齐岳生物科技有限公司经营的产品种类包括有:合成磷脂、高分子聚乙二醇衍生物、嵌段共聚物、磁性纳米颗粒、纳米金及纳米金棒、近红外荧光染料、活性荧光染料、的葡聚糖BSA和链霉亲和素、蛋白交联剂、小分子PEG衍生物、点击化学产品、树枝状聚合物、环糊精衍生物、大环配体类、荧光量子点、透明质酸衍生物、石墨烯或氧化石墨烯、碳纳米管、富勒烯,二氧化硅及介孔二影产品,荧光蛋白及荧光探针等等。
部分目录:
PCL-PEG-COOH
二聚乳酸聚乙二醇
PLA-PEG-PLA
聚己内酯聚乙二醇马来酰亚胺
PCL-PEG-MAL
聚乳酸羟基乙酸共聚物聚乙二醇巯基
PLGA-PEG-SH
聚乳酸-羟基乙酸共聚物聚乙二醇氨基
PLGA-PEG-NH2
二聚己内酯聚乙二醇
PCL-PEG-PCL
聚乳酸羟基乙酸共聚物聚乙二醇磷脂
PLGA-PEG-DSPE
聚乳酸-羟基乙酸共聚物聚乙二醇羧基
PLGA-PEG-COOH
二聚乳酸-羟基乙酸共聚物聚乙二醇
PLGA-PEG-PLGA




齐岳微信公众号
官方微信
库存查询