diSulfo-Cy7 Bis-NHS ester 二磺酸基Cy7-双活性酯
发布时间:2024-02-27     作者:wqy   分享到:
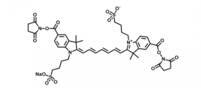
产品名称 diSulfo-Cy7 Bis-NHS ester/水溶性Cy7 Bis-NHS
中文名称 二磺酸基Cy7-双活性酯
英文名称 diSulfo-Cy7 Bis-NHS ester
分子式 C45H49O14N4NaS2
分子量 956.26
性状 深绿色固体
溶解性 water,DMSO,DMF
存储条件 -20°,避光
保存时间 一年
其它信息 花氰染料Cyanine,常应用于生物分子标记, 荧光成像以及其他荧光生物分析。
产地 西安
温馨提示:仅用于科研

关于我们
西安齐岳生物科技有限公司是国内的荧光染料供应商,我们公司可以提供种类齐全的CY系列染料,从CY3/CY3.5/CY5/CY5.5/CY7/CY7.5的末端各种活性基团包括COOH, NH2, NHS, MAL, N3, ALK, hydrazide, SH等等不同活性基团。
部分目录:
ICG-PEG-alkyne
吲哚菁绿-聚乙二醇-炔基
Cy5-PEG-DSPE
ICG-PEG-Azide
吲哚菁绿-聚乙二醇-叠氮
Cy3-PEG-COOH
荧光素聚乙二醇磷脂
FITC-PEG-DSPE
ICG-PEG-DSPE
吲哚菁绿-聚乙二醇-磷脂
荧光素聚乙二醇生物素




齐岳微信公众号
官方微信
库存查询