ICG-PEG-COOH 吲哚菁绿-聚乙二醇-羧基
发布时间:2024-02-27     作者:wqy   分享到:
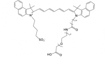
产品名称 ICG-PEG-COOH 吲哚菁绿-聚乙二醇-羧基
中文名称 吲哚菁绿-聚乙二醇-羧基
英文名称 ICG-PEG-COOH
分子量 5000
CAS N/A
溶解度 alcohols, DMSO, DMF
存储条件 -20°冷冻,干燥避光
保存时间 一年
其它信息 ICG是一种带负电荷的聚甲基菁染料,跟CY3,CY5,CY7这些菁染料不同的是它有这更高的吸收和发射波长,它的波长是800nm,虽然ICG的跟CY7.5的波长接近,但ICG却有着CY7.5无法达到的血红细胞结合能力。
产地 西安
温馨提示:仅用于科研

关于我们
西安齐岳生物科技有限公司是国内的荧光染料供应商,我们公司可以提供种类齐全的CY系列染料,从CY3/CY3.5/CY5/CY5.5/CY7/CY7.5的末端各种活性基团包括COOH, NH2, NHS, MAL, N3, ALK, hydrazide, SH等等不同活性基团。
部分目录:
ICG-PEG-alkyne
吲哚菁绿-聚乙二醇-炔基
Cy5-PEG-DSPE
ICG-PEG-Azide
吲哚菁绿-聚乙二醇-叠氮
Cy3-PEG-COOH
荧光素聚乙二醇磷脂
FITC-PEG-DSPE
ICG-PEG-DSPE
吲哚菁绿-聚乙二醇-磷脂




齐岳微信公众号
官方微信
库存查询