1424150-38-8/1424433-17-9 NHS ester (Methyl) 磺酸基Cy3-活性酯(甲基)
发布时间:2024-02-27     作者:wqy   分享到:
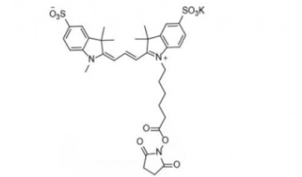
产品名称 diSulfo-Cy3 NHS ester (Methyl)/ 水溶性CY3 NHS Ester
中文名称 磺酸基Cy3-活性酯(甲基)
英文名称 diSulfo-Cy3 NHS ester (Methyl)
CAS 1424150-38-8/1424433-17-9
分子式 C34H38KN3O10S2
分子量 751.91
性状 深红晶体
溶解性 water,alcohols, DMSO, DMF
Ex/Em(nm) 548/563
存储条件 -20°冷冻,避光
保存时间 一年
其它信息 Sulfo-Cyanine3 Carboxylic NHS Ester 易溶于水,羧基由琥珀酸酯活化,在有机相/水相条件下,可以直接用于偶联氨基。
产地 西安
温馨提示:仅用于科研

关于我们
西安齐岳生物科技有限公司是国内的荧光染料供应商,我们公司可以提供种类齐全的CY系列染料,从CY3/CY3.5/CY5/CY5.5/CY7/CY7.5的末端各种活性基团包括COOH, NH2, NHS, MAL, N3, ALK, hydrazide, SH等等不同活性基团。
部分目录:
ICG-PEG-alkyne
吲哚菁绿-聚乙二醇-炔基
Cy5-PEG-DSPE
ICG-PEG-Azide
吲哚菁绿-聚乙二醇-叠氮
Cy3-PEG-COOH
荧光素聚乙二醇磷脂
FITC-PEG-DSPE
ICG-PEG-DSPE
吲哚菁绿-聚乙二醇-磷脂




齐岳微信公众号
官方微信
库存查询