FiTC-葡聚糖MW:40kd
绿色葡聚糖 Dextran-Fluorescein/FITC-Dextran 齐岳生物自产试剂
产品名称:绿色葡聚糖
英文名称:Dextran-Fluorescein/FITC-Dextran
外观状态:绿色粉末
葡聚糖分子量:70K
质量:90%
荧光波长:490nm-510nm
包装:100mg/500mg
出库:长期现货
保存:-20℃ 2年
厂家:西安齐岳生物科技有限公司

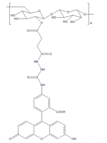
葡聚糖Dextran是一种生物相容性较高的高分子聚合物材料,这类材料被用于药剂或生物实验,的葡聚糖Dextran可以作为体内细胞荧光检测材料,而像氨基修饰的葡聚糖则可以用于修饰其他的分子。
2017年西安齐岳生物科技有限公司实验室自主合成葡聚糖Dextran系列产品,包括和活化基团的葡聚糖产品。
西安齐岳生物科技有限公司可以提供葡聚糖分子量有5K/10K/20K/40K/70K/100K
荧光葡聚糖产品列表:
Dextran-Fluorescein
Dextran-FITC
Dextran-Rhodamine 550nm-580nm
TRITC-Dextran
Dextran-NBD
CY3-Dextran 555nm-570nm
CY3.5-Dextran 591nm-604nm
CY5-Dextran 646nm-662nm
CY5.5-Dextran 684nm-710nm
CY7-Dextran 750nm-770nm
CY7.5-Dextran 788nm-808nm
ICG-Dextran 800nm-820nm
纯度:98%
产地:西安
包装:10mg,25mg,50mg,100mg,500mg,1g,5g,10g
用途:科研
货期:现货/定制时间长
级别:化学纯
供应商:西安齐岳生物科技有限公司




齐岳微信公众号
官方微信
库存查询