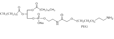
中文名称:磷脂-聚乙二醇-氨基
英文简称:DSPE-PEG-NH2
英文全称:Amine functionalized PEG Lipid
CAS号:n/a; PEG: 25322-68-3; DSPE: 1069-79-0
主链结构:二嵌段共聚物

亲疏水性:两亲性
产品类型:自组装PEG衍生物
外观/形态:固态粉末或颗粒(以实际外观为准)
品牌:西安齐岳生物
产地:西安
规格:1mg 5mg 10mg,100mg,500mg,1g等
用途:仅用于科研
状态:固体/粉末
温馨提示:仅用于科研,不能用于人体实验!
关于我们:
西安齐岳生物科技有限公司是国内的PEG供应商,可以提供不同分子量的PEG衍生物,小分子PEG的循环节可以做到1-36个,高分子PEG分子量从1000-40000不等,可以修饰的基团有:氨基类,NHBOC类,Fmoc类,羧酸类,Mal类,NHS类,叠氮类,DBCO类,Cy3/Cy5/Cy7类,THP类,苄基类,丙炔基类,溴代类,丙酸叔丁酯类,乙酸叔丁酯类,甲基类,生物素类,五氟苯酚类,磺酸酯类,巯基类,产品纯度高达98%以上。也供应高分子化合物,如功能化PEG衍生物;单官能团PEG/PPO;双官能团PEG;链端羟基PEG;PEG;多臂星形PEG;超支化树枝状PEG;PEO-PPO嵌段共聚物;自组装PEG;特殊形状高分子;功能高分子;电子级高分子等等。
相关产品:
聚L赖氨酸氢溴酸盐水溶液 0.1%PLKB 聚氨基酸-细胞培养用 Poly(L-lysine) Solution 0.1% (w/v) in water, CAS#25988-63-0
聚L赖氨酸氢溴酸盐水溶液 0.01%PLKB 聚氨基酸-细胞培养用 Poly(L-lysine) Solution 0.01% (w/v) in water, CAS#25988-63-0
PLKB 聚L赖氨酸氢溴酸盐 聚氨基酸-细胞培养用 Poly(L-lysine hydrobromide), CAS#25988-63-0
PDKB 聚D赖氨酸氢溴酸盐 聚氨基酸-细胞培养用 Poly(D-lysine hydrobromide), CAS#27964-99-4
PLO 聚L鸟氨酸氢溴酸盐 聚氨基酸-细胞培养用 Poly(L-ornithine hydrobromide), CAS#27378-49-0
PCN 聚氰基丙基甲基硅氧烷 Poly(cyanopropylmethylsiloxane), 800-1,400 cSt / CAS 67762-86-1




齐岳微信公众号
官方微信
库存查询