udp-ManNAcA|udp-4n-D-FUCNAc 齐岳核苷酸糖
发布时间:2024-03-12  作者:zyl  分享到:
西安齐岳生物科技有限公司是集化学科研和定制与一体的高科技化学公司。业务范围包括化学试剂和产品的研发、生产、销售等。涉及产品为通用试剂的分销、非通用试剂的定制与研发,涵盖生物科技、精细化学品、中间体和化工材料等领域。与多家品牌深度合作,渠道广阔,主营产品:原料药,天然产物,COF、MOF单体系列:三蝶烯衍生物、金刚烷衍生物、四苯甲烷衍生物、peg、上转换、石墨烯、光电材料、点击化学、凝集素、载玻片、蛋白质交联剂、脂质体、蛋白、多肽、氨基酸、糖化学等。
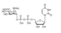
udp-ManNAcA

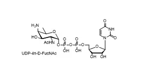
udp-4n-D-FUCNAc

核苷酸糖是核苷二磷酸或核苷一磷酸与不同单糖异头体羟基形成的衍生物,是糖类合成或相互转换时的活化形式,如GDP-Fuc,CMP-SA,UDP-Gal。核苷酸糖是核糖核苷酸的组成部分,核糖核苷酸分解生成核苷酸糖,合成核糖核苷酸是消耗核苷酸糖。
相关产品:
udp-ManNAcA
udp-4n-D-FUCNAc
cas75645-27-1 乳糖-N-丙糖II
udp-葡萄糖脱氢酶 UDPDH
udp-来苏糖
TDP-来苏糖
udp-2-alkynyl-GlcNAc




齐岳微信公众号
官方微信
库存查询