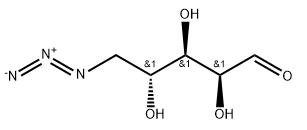
cas:161418-69-5, 5-叠氮-5-去氧-D-阿拉伯糖, 5-Azido-D-arabinose
发布时间:2024-03-14     作者:zyl   分享到:
中文名称5-叠氮-5-脱氧-D-阿拉伯糖
英文同义词5-azido-5-deoxy-D-arabinose
CAS号161418-69-5
分子式C5H9N3O4
分子量175.14
产品纯度:95%
品牌:齐岳生物
产地:西安
是否进口:否
用途:科研
产品规格:10mg/50mg/100mg/500mg
保存时间:一年
保存取用:缓慢恢复至室温,取用后充入惰性气体,冷冻保存。

相关产品:
L-阿卓糖
a-D-xylofuranose
beta-D-Arabinopyranose
CAS:533-49-3
CAS:921-60-8
CAS:59-23-4
CAS:609-06-3
CAS:95-44-3
CAS:6027-89-0
CAS:639-97-4




齐岳微信公众号
官方微信
库存查询