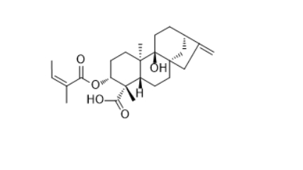
CAS :79406-11-4 3α-Angeloyloxypterokaurene L3 三裂蟛蜞菊
发布时间:2024-03-15  作者:kx  分享到:
英文名称:3α-Angeloyloxypterokaurene L3
CAS :79406-11-4
分子式:C25H36O5
性状:Powder
纯度:98.0%
特色服务:随货提供1H-NMR等报告
关键词:三裂蟛蜞菊;贝壳杉烷;植物提取物;天然产物;天然产物库

产地:西安
规格:1mg 5mg 10mg
用途:仅用于科研
状态:固体/粉末
厂家:西安齐岳生物科技有限公司
温馨提示:仅用于科研,不能用于人体实验!
西安齐岳生物科技有限公司提供的产品种类包括:生物碱,黄酮,查尔酮,氧杂蒽酮,木脂素,香豆素,苯丙素,其它酚类,三萜,二萜,倍半萜,环烯醚萜,其它萜类,甾体,蒽醌,其它醌类,其它天然产物,药物杂质及中间体。
相关产品:
7,8-Dimethoxyquinazolin-4(3H)-one CAS:19178-11-1 7,8-二甲氧基喹唑啉-4(3H)-酮
CAS:73278-90-7 3-(哌啶-1-甲基)苯甲酸甲酯 Methyl 3-(piperidin-1-ylmethyl)benzoate
CAS:15823-04-8 3-(4-甲氧基苯基)丙酸甲酯 Methyl 3-(4-methoxyphenyl)propanoate




齐岳微信公众号
官方微信
库存查询