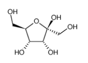
cas:470-24-6 , b-D-psicofuranose , b-D-呋喃阿洛酮糖
发布时间:2024-03-18     作者:zyl   分享到:
常用名 Beta-D-呋喃阿洛酮糖
英文名 D-psicose
CAS号 470-24-6
分子量 180.15600
密度 N/A
沸点 N/A
分子式 C6H12O6
熔点 N/A
闪点 N/A

酮糖(Ketose)是一类碳水化合物,属于单糖的一种,其分子结构中包含一个酮基(carbonyl group),而不是像葡萄糖等其他单糖那样含有一个醛基(aldehyde group)。酮糖的通用化学式为CnH2nO,其中n表示碳原子的数量。
相关产品:
4-氟代-D-葡萄糖
2-氟代-D-半乳糖
2-氟代-D-半乳糖
6-脱氧-6-碘-D-葡萄糖
3-氟代-D-葡萄糖醇
3-氯-3-脱氧-D-葡萄糖
4-氟代-D-甘露糖
5-叠氮-5-脱氧-D-核糖
5-叠氮-5-脱氧-D-核糖
3-氟代-D-半乳糖
3-氟代-D-阿洛糖
6-叠氮-6-去氧-b-D-半乳糖
2-氟代-D-阿拉伯糖
3-氟代-D-木糖
5-脱氧-L-核糖




齐岳微信公众号
官方微信
库存查询