cas:57-48-7, D-Fructose, D-果糖
发布时间:2024-03-18  作者:zyl  分享到:
常用名 果糖
英文名 Fructose
CAS号 57-48-7
分子量 180.156
密度 1.6±0.1 g/cm3
沸点 551.7±50.0 °C at 760 mmHg
分子式 C6H12O6
熔点 119-122 °C (dec.)(lit.)
闪点 301.5±26.6 °C

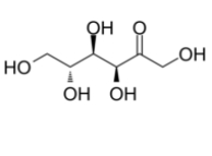
果糖是一种单糖,也称为水果糖,其化学名称为D-果糖(D-Fructose)。它是一种六碳糖,与葡萄糖等其他单糖有所不同。果糖是存在于许多水果和蜂蜜中的糖类,是水果中的主要糖类之一。
果糖的化学结构为C6H12O6,与葡萄糖的结构相似,但其构型不同。
相关产品:
4-fluoro-D-galactose FUDG
6-deoxy-6-fluoroglucose
4-fluoro-D-glucose
2-fluoro-D-galactose FDGal
2-fluoro-D-galactoseFDGal
6-iodo-D-glucose
3-Deoxy-3-fluoro-D-glucitol
3-Chloro-3-deoxy-D-glucose
4-fluoro-D-mannose




齐岳微信公众号
官方微信
库存查询