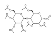
cas:77489-36-2 ,七-O-乙酰基-b-D-乳糖基异硫氰酸酯
发布时间:2024-03-20  作者:zyl  分享到:
英文名 Hepta-O-acetyl-β-D-lactosyl-isothiocyanate
CAS号 77489-36-2
分子量 677.62800
密度 N/A
沸点 N/A
分子式 C27H35NO17S
熔点 N/A
闪点 N/A

生物学性质: 糖在生物系统中起着重要作用,如作为能量来源、结构组分、信号分子等。糖与蛋白质、核酸等生物大分子之间的相互作用对于生物体内的各种生物过程至关重要。
光学性质: 糖具有旋光性,即其溶液能够使偏振光发生旋转。单糖分子中存在手性碳原子,导致单糖具有旋光性,而具体的旋光方向则取决于单糖的立体构型。
相关产品:
6-脱氧-6-碘-D-葡萄糖
3-氟代-D-葡萄糖醇
3-氯-3-脱氧-D-葡萄糖
4-氟代-D-甘露糖
5-叠氮-5-脱氧-D-核糖
5-叠氮-5-脱氧-D-核糖
3-氟代-D-半乳糖
3-氟代-D-阿洛糖
6-叠氮-6-去氧-b-D-半乳糖




齐岳微信公众号
官方微信
库存查询