mPEG-phosphoric acid,Phosphate PEG,甲氧基-聚乙二醇-磷酸
发布时间:2024-03-25     作者:zyl   分享到:
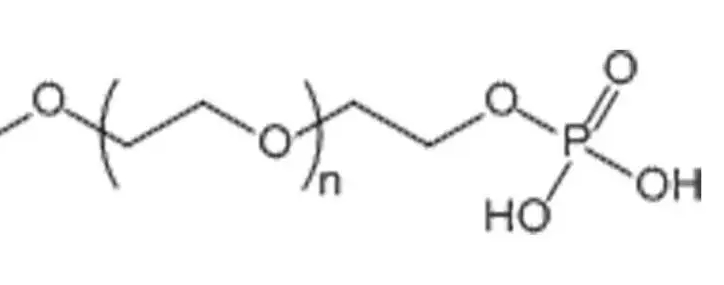
英文名称:mPEG-phosphoric acid
Phosphate PEG
中文名称:甲氧基-聚乙二醇-磷酸
分子量:1000,2000,3400,5000,10000,20000(可按需定制)
外观:粘稠液体或固体粉末,取决于分子量大小
端基取代率:≥95%
溶解性:溶于大部分有机溶剂,如:DCM、DMF、DMSO、THF等等;溶于水
存储条件:-20°C,避光,避湿
用途:仅用于科学研究或者工业应用等非医疗目的,非药用,非食用
注意事项:取用一定要干燥,避免频繁的溶解和冻干
取用:现配现用,将包装从冰箱中取出,置于干燥器中缓慢升至室温,打开瓶盖,取用。取用后充入惰性气体,封口膜封口,拧紧瓶盖装入自封袋,及时放入冰箱。

产品描述:
甲氧基聚乙二醇磷酸酯(mPEG磷酸酯),也称为PEG磷酸或PEG膦酸,是一种单官能表面活性聚乙二醇磷酸酯衍生物,可用于修饰金属氧化物表面,如二氧化钛、氧化铝和钽氧化物。
相关产品:
Br-PEG1000-Amine
VS-PEG1000-Amine
MA-PEG1000-Amine
IA-PEG1000-Amine
MAL-PEG1000-MAL
NHS-PEG1000-NHS
SH-PEG1000-SH
CHO-PEG1000-CHO
OPSS-PEG1000-OPSS




齐岳微信公众号
官方微信
库存查询