产品简介
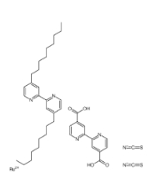
中文名 顺式-双(异硫氰基)(2,2'-联吡啶基-4,4'-二羧基)(4,4'-二-壬基-2'-联吡啶基)钌(II)
英文名 2-(4-carboxypyridin-2-yl)pyridine-4-carboxylic acid,4-nonyl-2-(4-nonylpyridin-2-yl)pyridine,ruthenium(2+),diisothiocyanate
中文别名 钌配合物Z907染料
熔点 196ºC
分子式 C42H52N6O4RuS2
分子量 870.10000
精确质量 870.25300
PSA 190.34000
LogP 11.58700
外观性状 固体;Black powder to crystal
储存条件 存放于惰性气体之中;避免空气,湿气 (分解)
包装:100mg,500mg,1g,10g,100g以及kg级别等公斤级

关于我们
西安齐岳生物科技有限公司经营的产品种类包括有:合成磷脂、高分子聚乙二醇衍生物、嵌段共聚物、磁性纳米颗粒、纳米金及纳米金棒、近红外荧光染料、活性荧光染料、的葡聚糖BSA和链霉亲和素、蛋白交联剂、小分子PEG衍生物、点击化学产品、树枝状聚合物、环糊精衍生物、大环配体类、荧光量子点、透明质酸衍生物、石墨烯或氧化石墨烯、碳纳米管、富勒烯,二氧化硅及介孔二影产品,荧光蛋白及荧光探针等等。

相关产品
"Tosylmethyl isocyanide
对甲基苯磺酰甲基异腈 "
"6-Fluoro-2-methylindanone
6-氟-2-甲基-1-茚酮"
"2-(1,1-Dimethyl-propyl)-anthraquinone
2-叔戊基蒽醌"
"Raspberry ketone;
4-(4-hydroxyphenyl)-2-butanone
4-(4-羟基苯基)-2-丁酮"
" 1, 2-epoxy-3-(2-methoxyphenoxy)propane




齐岳微信公众号
官方微信
库存查询