DOPE-PEG-活性酯,NHS-PEG-DOPE,DOPE-PEG20000-NHS
发布时间:2024-03-25  作者:zyl  分享到:
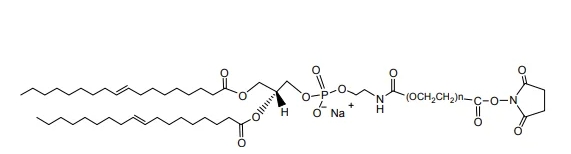
英文名称:DOPE-PEG-NHS
中文名称:二油酰磷脂酰乙醇胺-聚乙二醇-琥珀酰亚胺碳酸酯
分子量:1000,2000,3400,5000,10000,20000(可按需定制)
外观:粘稠液体或固体粉末,取决于分子量大小
端基取代率:≥95%
溶解性:溶于大部分有机溶剂,如:DCM、DMF、DMSO、THF等等;溶于水
存储条件:-20°C,避光,避湿

产品描述:
DOPE-PEG-NHS是一种能与伯胺基团反应的活性磷脂PEG衍生物,具有亲水性和疏水性。DOPE(1,2-二醇基-sn-甘油-3-磷酸乙醇胺)是一种具有高疏水性的18碳非饱和磷脂。另一方面,PEG骨架提供了良好的亲水性。NHS功能性DOPE-PEG在pH7.5~10范围内可与伯胺基团高效反应。
相关产品:
NH2-PEG2000-VA
氨基聚乙二醇八臂
NH2-PEG2000-Br
NH2-PEG2000-VS
NH2-PEG2000-MA
NH2-PEG2000-IA
对甲苯磺酸酯PEG氨基
乙酰基PEG氨基




齐岳微信公众号
官方微信
库存查询